基于非牛頓微液滴的粒子封裝及檢測(下)
2. 結果與討論
2.1 非牛頓液滴的生成模態
圖4是牛頓流體60 wt.% GW溶液在橄欖油中生成的液滴, 圖4(a) ~ 圖4(g)流量分別為Qd = 20 μL/h, Qc = 100 ~ 3000 μL/h. 隨著連續相流量的增大, 液滴尺寸減小, 液滴由擠壓模態轉變為滴流模態(圖4(a) ~ 圖4(d)), 這個過程伴隨衛星液滴的生成. 繼續增大連續相流量, 產生了不同的現象(圖4(e) ~ 圖4(g)), 液滴不是單獨生成而是一次性生成一組并且以穩定的周期生成, 這個階段為多液滴破碎模態. 在這個模態中發現隨著流量變化會出現液滴尺寸的突增(圖4(e) ~ 圖4(f))以及組內液滴數的增加, 往往首液滴尺寸的增加會伴隨一組更小液滴串(圖4(f)中框選部分), 主要原因在于小液滴串分散了液滴生成過程中的剪切壓力. 之后隨著連續向流量的增加(圖4(g)), 液滴恢復到以一組的方式周期性生成, 組內液滴數量增多, 液滴尺寸服從幾何級數分布. 圖4(h)為Qd = 50 μL/h, Qc = 3000 μL/h流量條件下, 觀察到尖端破碎的過程, 生成的液滴尺寸微小且均一, 并且沒有衛星液滴的生成. 作為牛頓流體, 60 wt.% GW溶液在現有實驗條件下液滴生成模態: 擠壓、滴流、多液滴破碎以及尖端流模態.
圖 4 60 wt.% GW溶液的液滴生成實驗圖
在離散相中添加高分子可顯著流體流變性質(圖1), 并改變液滴生成模態. 圖5 ~ 圖7展示了具有與60 wt.% GW溶液相似黏度但不同非牛頓性質的高分子水溶液在相同的流動聚焦微通道中的液滴生成. 圖5展示了具有單一剪切稀化效應的0.01 wt.% XG溶液在橄欖油中的液滴生成, 流量條件為Qd = 20 μL/h, Qc = 100 ~ 2500 μL/h. 隨著連續相流量的擴大, 0.01 wt.% XG液滴生成表現出擠壓到滴流模態轉變, 液滴生成過程中始終伴隨衛星液滴的產生. 此外, 在較大流速條件, 可觀察到獨立的液滴串珠及液滴尺寸突增的現象.
圖 5 具有單一剪切稀化的0.01 wt.% XG溶液的液滴生成實驗圖
圖6展示了具有單一彈性的2 wt.% PVP溶液在橄欖油中的液滴生成. 圖6(a) ~ 圖6(e)的流量條件為Qd = 20 μL/h, Qc = 100 ~ 2000 μL/h. 隨著連續相流量的增加液滴從擠壓模態轉換為滴流模態, 彈性效應使得液橋減薄成細絲后斷裂成大量衛星液滴, 與牛頓流體60 wt.% GW溶液及剪切稀化流體0.01 wt.% XG溶液均有差別. 隨著連續相流量的增大, 在圖6(e)中也觀察到液滴尺寸的突增. 與前兩者不同的是, 前端用于分散壓力的液滴串用液絲相連, 這與PVP溶液的彈性效應密切相關. 圖6(g)與圖6(h)是2 wt.% PVP溶液在Qd = 30 μL/h, Qc分別為3600與4500 μL/h時表現出的多液滴破碎與尖端流模態. 不同于60 wt.% GW溶液的液滴生成現象, PVP溶液條件下生成的液滴與細絲相連, 且兼具射流模態的特征, 其模態轉換需要更高的流量條件.
圖 6 具有單一彈性效應的2 wt.% PVP溶液的液滴生成實驗圖
圖7為0.4 wt.% PEO溶液在橄欖油中以流速為20 μL/h生成液滴的過程, 0.4 wt.% PEO溶液兼具剪切稀化與彈性效應. 圖7(a) ~ 圖7(d)的流量條件為Qd = 20 μL/h, Qc = 100 ~ 1500 μL/h, 隨著連續相流量的增加, 生成液滴過程中形成液絲到斷裂成衛星液滴的過程明顯增長, 過程中液絲拉長, 衛星液滴顯著增多. 隨著連續相流量的增加, 液滴從擠壓、滴流、中間流到典型的射流模態. 這里中間流定義為液滴生成且液橋未完全分解成衛星液滴, 與下一個液滴頭相連的現象(圖7(c)). 圖7(d)連續相流量增大到一定程度, 液橋呈現不斷裂且演變成高度延伸的圓柱形液絲, 后端形成極小的液滴, 衛星液滴消失. 這是PEO溶液區別于其他流體呈現出典型的射流模態.
圖 7 兼具剪切稀化與彈性效應的0.4 wt.% PEO溶液的液滴生成實驗圖
2.2 基于PEO溶液的粒子封裝
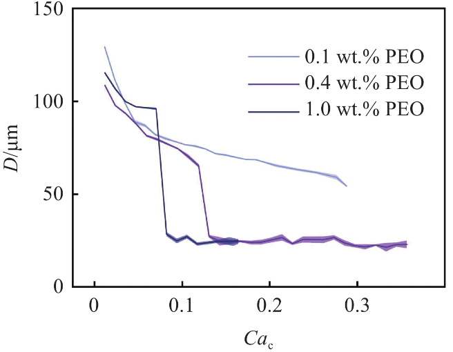
根據2.1節中的實驗結果顯示兼具剪切稀化與彈性效應的PEO溶液可以在射流模態下生成穩定的液滴, 且無衛星液滴伴隨. 進一步考察了不同濃度PEO溶液的液滴生成情況. 圖8為不同濃度PEO溶液條件下生成液滴尺寸D隨著毛細數Cac變化規律. 其中, 誤差帶為同種工況下多個液滴尺寸的標準差, 用于表征液滴單分散性. 液滴尺寸的驟降表示液滴生成模態轉為射流模態. 可以發現, 0.1 wt.% PEO液滴在現有實驗范圍內未出現射流模態, 0.4 wt.% PEO條件下液滴生成的射流模態下整體單分散性較差. 相較而言, 更高濃度的1 wt.% PEO條件下, 液滴生成可在更小的Cac下轉化為射流模態, 生成的液滴尺寸更小且單分散性較好, 有利于后續粒子封裝.
圖 8 不同濃度PEO溶液下液滴尺寸變化規律圖
此外, 層流模式下通道內流動的流速呈拋物線狀, 即通道中心的流速最快, 而通道壁附近的流體流動由于黏性力的阻礙作用, 逐漸降低至壁面處0流速. 通道中心的高流動剪切率導致剪切稀化流體的黏度降低, 與流速形成正向反饋, 通道兩側速度梯度增大, 最終促使粒子排列在通道中心平衡位置. 同時, 流體中的彈性效應使得流體具有恢復形變的能力, 這進一步有助于將粒子平衡在通道中心位置. 因此, 在較大的剪切稀化和彈性共同作用下, 可以更好地控制粒子在微通道中的平衡位置.
將粒子濃度為50 mg/mL直徑為20 μm的聚苯乙烯微球添加到1 wt.% PEO溶液中, 配置成粒子濃度為0.5 wt.%的離散相溶液用于開展粒子封裝實驗. 在蛇形微通道中, 當離散相流量達到10 μL/h或更高時, 觀察到粒子排序現象. 圖9藍色箭頭指示從左到右為流體流動方向, 可以觀察到在前3個蛇形通道中粒子隨機分布在通道中, 直到第4個通道3.2 cm處觀察到粒子有序排列. 隨著距離增大, 粒子在慣性-黏彈性作用下呈現規則的排列, 形成粒子自組織模式.
圖 9 蛇形通道中粒子排列圖
在粒子排序的條件下, 進一步在不同模態下考察液滴封裝粒子情況. 圖10(a)為Qc = 200 μL/h時, 不同離散相流量條件下的實驗圖. 在這些條件下, 液滴均處于中間流模態, 粒子在前端可實現有序排列, 且實現很好的液滴封裝效果. 圖10(b) 為Qc = 400 μL/h條件下不同離散相流量情況的實驗圖. 可以看出, PEO液滴生成呈現典型的射流模態. 隨著離散相流量的增大, 液滴頸部逐漸加寬. 這種情況下, 粒子排列不易被液滴內部流場打亂, 從而保證粒子長時間穩定封裝, 提高粒子封裝率.

圖 10 PEO液滴不同生成模態下粒子封裝實驗圖
2.3 液滴檢測與粒子封裝率計算
為便于進一步分析與應用, 搭建deformable DETR框架來實現單液滴及液滴群的粒子封裝的自動檢測. 首先, 對圖像進行預處理, 將所采集圖像含有重復液滴的圖片篩除, 避免多次計算. 使用deformable DETR模型檢測之前, 將一部分圖像數據集通過labelme進行標注, 得到標注框的類別及位置坐標等信息. 需注意, 標注液滴群時有些液滴可能被截斷. 為了減小此類液滴錯誤分類, 選取圖像中約85%以上的液滴繪制包圍框, 以便準確地對圖像邊界內包含粒子的液滴進行分類. 其次, 將標注的數據集以80%, 10%和10%的比例分別存儲在訓練集、驗證集和測試集中, 然后進行訓練. 數據通過resnet50特征提取特征, 通過Transformer中的encoder和decoder模塊進行目標檢測, 在NVIDIA RTX A2000上進行訓練和測試, 2 h進行100個epoch.
圖11(a)為單粒子標注圖像示例, 圖11(b)為液滴群標注圖像示例. 數據集包括兩類數據, 一是液滴數據, 二是粒子數據. 液滴與粒子的包裹關系通過后處理來解決. 為了驗證檢測結果的可靠性, 分別將單液滴與液滴群的模型檢測結果進行可視化展示, 圖11(c)為單粒子檢測結果圖像示例, 圖11(d)為液滴群檢測結果示例. 可以看出, 幾乎所有的檢測都是準確的. 這表明所構建的檢測模型可用于單液滴和復雜液滴群場景檢測.

圖 11 粒子封裝標記及檢測結果圖像
基于上述檢測結果可提取檢測框的坐標信息, 包括檢測框的左上和右下兩個點的坐標信息、檢測框的類別信息及置信度. 通過篩選, 將檢測框分別放在液滴數據集和粒子數據集, 在數據集中保留坐標信息和置信度閾值, 通過坐標關系, 可以判斷液滴和粒子的相對位置關系, 以判斷粒子是否屬于當前的液滴, 即液滴是否對該粒子進行了封裝. 隨后, 根據液滴內粒子的個數, 對液滴的種類進行了分類, 對實驗圖像中包含不同粒子數的液滴進行統計, 根據統計結果進一步得出不同情況的封裝率. 這些結果表明, deformable DETR框架在液滴粒子封裝的高精度檢測方面具有較好潛力.
3. 結論
本研究首先從非牛頓微液滴生成出發, 劃分了非牛頓液滴生成模態, 明確了兼具剪切稀化與彈性效應的PEO溶液更利于進行粒子封裝. 其次, 粒子封裝實驗和分析表明, 結合PEO溶液在射流模態下實現高單分散性液滴的穩定生成的特性與慣性-黏彈性效應誘導的粒子排序, 實現超過58%封裝率的單粒子封裝, 克服了基于傳統方法單粒子封裝率的泊松限制. 最后, 驗證了deformable DETR框架在液滴粒子封裝的高精度檢測方面的有效性, 未來有望將其與粒子封裝技術結合開發基于非牛頓微液滴的粒子封裝與檢測一體化技術及裝置.
免責聲明:文章來源網絡 以傳播知識、有益學習和研究為宗旨。 轉載僅供參考學習及傳遞有用信息,版權歸原作者所有,如侵犯權益,請聯系刪除。
標簽:   微液滴
