【微反應器文獻之旅第六篇】一種以聚四氟乙烯毛細管為微通道的微反應器
今天閱讀的文獻在Histcite中編號為188,是2003年發表在CatalysisToday上的一篇文獻,文章中提出了一種以聚四氟乙烯毛細管為微通道的微反應器,同時使用了液液兩相的單環芳烴硝化反應作為研究對象,探討了其中的相間傳質,溫度,停留時間等因素的影響,最后還使用CFD分析了液滴內的內部循環流動(二次流)的影響。
Introduction
文章在一開始就說明了所要研究的反應,液液兩相的苯環的硝化反應,硝酸硫酸的混合物的水相作為硝化劑,單環芳烴作為有機相。之后,文章說明了毛細管微反應器可以提供非常平均且規整的流型和等溫的反應條件。
Experimental method
在實驗方法部分,文章詳細地說明了反應裝置和反應條件,詳見圖1所示,使用活塞泵將單環芳烴和硝酸注入反應裝置中,反應首先使用Y型混合器產生良好的液液流型,然后在毛細管內發生反應,反應的壓力為4 bar,反應的溫度為60到120攝氏度,這里注明一點,之所以選擇壓力為4 bar,是為了防止溫度過高產生氣泡,聚四氟乙烯毛細管外部還有一個套管流動著熱流體保持反應溫度恒定,流體出反應管后進入淬滅裝置,保持溫度在20攝氏度來停止反應,然后使用針型閥來泄壓至常壓,然后使用冷卻水降溫稀釋,取有機相通入氣相色譜分析組成。

圖1 反應裝置及反應條件示意圖
聚四氟乙烯毛細管中產生的流型Plug Flow見圖2所示。

圖2 液液兩相流示意圖
Results and discussion
文章在這一部分著重討論了液液兩相的流型,副產物的產生,相間傳質和反應模型,在這里進行簡要敘述,可以以下重點。
· 進入毛細管的液滴(plug)的體積是由Y型混合器的管徑決定的,混合器的管徑越小,液滴的體積越小,而液滴的長度則是由毛細管的管徑決定的,在體積相同(也就是Y-mixer相同)的情況下,毛細管管徑越小,液滴長度越長。
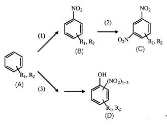
· 由圖3所示,B(硝基單取代物)為目標產物,C(二硝基取代物)與D(硝基酚類)都是副產物,文章主要鑒定了副反應C與D的反應序列,也就是確定了副反應到底是主反應的平行反應還是連串反應。可以看出C為連串反應副產物,D為平行反應副產物。

圖3 主反應和副反應步驟
在討論溫度時,確定了副反應的活化能(2,3)都要高于主反應(1)。
· 在討論傳質的影響時,確定了硝化反應是傳質控制的反應,隨著流體流速的增加,反應物A的轉化率增加,副產物D的收率率增加,副產物C的收率下降,這可以從以下的討論中得到解釋,微反應器內隨著流速的增加,相間傳質速率的增加,雖然B的生成速率增加但同時更多的B從水相萃取至有機相中,減少了反應物B的濃度,從而降低了后需連串步驟(2)的反應速率。
· 文章初步假設了硝化反應的模型----水相是硝化反應發生的相態,所考慮的傳質就是反應物從有機相傳遞至水相,產物從水相傳遞至有機相。
· 文章最后使用FEMLAB的軟件模擬得到了液滴內的內循環的具體流動狀態,如圖4所示。

圖4 液滴內循環流動CFD模擬圖
Conclusion
文章最后得到了主要兩點結論:
第一、毛細管反應器由于其具有等溫和固定的相間面積使得其非常適宜于液液兩相反應體系的傳質系數或是反應動力學的測量;
第二、流速增加之所以可以強化傳質是因為液滴的內循環流動的加強,這一點文章說已經從模型和CFD模擬兩方面進行了闡述。
結語
這篇文章給出了毛細管反應器作為液液反應的傳質和動力學系數測量的可能性,但是文章并沒有給出具體的傳質系數隨速度的表達式,亦或是反應的動力學方程,同時CFD模擬討論的并不多,也只是給出了可行性而已,不過作為一篇啟發式的文獻,還是非常值得我們學習的。
參考文獻
[1] Dummann G., Quittmann U., Groschel L.,et al., The capillary-microreactor: a new reactor concept for theintensification of heat and mass transfer in liquid-liquid reactions, Catalysis Today, 2003, 79(1-4): 433-439.
(文章來源 - 微信公眾號:耳朵二水 作者:二水 轉載僅供參考學習及傳遞有用信息,版權歸原作者所有,如侵犯權益,請聯系刪除)
標簽:   微反應器 硝化反應 毛細管反應器
